Hi everyone,
I ran into a problem with RFEM 6 cable calculations. I have a prestressed cable (A=5027mm2; L=50m; Prestress = 2303kN) with hinged supports on each end and symmetrical load on all lenght (p = 10kN/m). I calculate the cable with load combination of prestress and symmetrical load (No self-weight) and get wrong results. The Horizontal support reaction needs to stay 2303kN and deformation - 1,35m. I've got these results when I calculated them by hand and also checked with Robot Structural Analysis (Both results are the same). Here is the picture of RFEM6 results:
What am I doing wrong?
P.S. Tried to prestress a cable in different ways: Initial prestress, axial strain, temperature load. (The system couldn't let me use end prestress option.
If needed I can provide the formulas I used to calculate and robot results.
Hi Coalas888,
Thank you very much for your request! 
Based on the information you provided, I recreated your model using our Form-Finding Add-On . Since the elastic modulus of your material was not specified, I assumed steel for the calculation.
The calculated sag of the cable is approximately 1.36 m , which matches your hand calculation quite closely. Please see the following image:
However, I do not fully agree with the assumption that the horizontal support reaction must be 2303 kN . The cable meets the support at a certain rotation angle , which affects the reaction components. In my comparison calculation, the horizontal component is:
Py = 2289 kN
To better understand your approach, I would be very interested in seeing your hand calculation as well as the calculation performed with the competitor’s software .
Looking forward to your reply!
Best regards
Marco Nikoleizig
Could I get your RFEM file? Because I couldn't figure out how to use the form finding add on (probably not enough research).
The reason why i don't want to use Robot for this is because i have to improvise a lot to make it work (I'm experimenting with some bridge models and this is just the basic thing to make sure that the software uses right calculations) and also i couldn't figure out why it does not want to calculate asymetrical load.
Here are the results:
And non linear calculation settings:
I'll put formulas in other reply because I can't upload more than 2 pictures
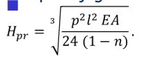
Here are the formulas used. Don't know the exact source of these but my professor gave it to me.
Sag:
p - distributed load
l - span
n - 0,1 (for this case)
E - Elastic modulus
A - Cross section area
Tensile force of cable:

Would be open to your insight. I'm not studying in English so I might be a bit wrong with exact terms of formulas.
Hi @Coalas888, 
To help you get more familiar with the Form-Finding Add-On, I can recommend the following webinars:
On each of these pages, you will also find the corresponding model files available for download.
With these resources, you should be well equipped to create the prestressed cable model on your own. 
If any questions come up while you work through it, feel free to ask!
Best regards
Marco Nikoleizig
1 Like